Aliness Beta Glukan Yestimun® 1,3-1,6 β-D 250 mg x 100 Vege caps.
Opis
Beta Glukan 1,3-1,6 β-D 250 mg x 100 Vege caps.
100% Saccharomyces cerevisiae
Suplement diety





|
Składniki |
1 kapsułka |
2 kapsułki (porcja dzienna) |
|
Yestimun® - Beta Glukan 85% 1,3-1,6 β-D |
250 mg |
500 mg |
Składniki: Yestimun® (Wyciąg z drożdży piwowarskich (Saccharomyces cervisiae) 85% beta glukan 1,3-1,6 β-D, otoczka kapsułki: (substancja wiążąca: hydroksypropylometyloceluloza).
Zalecana porcja do spożycia w ciągu dnia: 1-2 kapsułki dziennie przed posiłkiem. Nie przekraczać zalecanej porcji do spożycia a ciągu dnia.
Produkt nie może być stosowany jako substytut zróżnicowanej diety. Zrównoważony sposób żywienia oraz zdrowy tryb życia są podstawą prawidłowego funkcjonowania organizmu.
Warunki przechowywania: Przechowywać w temperaturze pokojowej w sposób niedostępny dla małych dzieci. Chronić przed wilgocią.
Zawartość opakowania: 100 kapsułek VEGE
FAQ dotyczące Yestimun®
Beta-glukan z drożdży w swojej najbardziej naturalnej postaci
Yestimun® Beta-Glucan jest naturalnym i skutecznym składnikiem produkowanym z drożdży piwowarskich.
1. Jakie standardy jakości obowiązują przy produkcji Yestimun® Beta-Glucan?
Proces produkcji Yestimun® Beta-Glucan jest zgodny z następującymi normami (certyfikaty dostępne na żądanie):
- IFS
- BRC
- ISO 22000:2005
- Halal
- Koszerność

2. Czy Yestimun® Beta-Glucan zawiera dodatki?
Yestimun® Beta-Glucan to w pełni naturalny i czysty składnik bez żadnych dodatków. Składa się wyłącznie z drożdży piwowarskich (100% Saccharomyces cerevisiae).
3. Czy Yestimun® Beta-Glucan posiada certyfikat GMP?
Nie posiadamy certyfikatu GMP. Jednak bardzo rygorystycznie podchodzimy do składu mikrobiologicznego. Analizujemy również każdą partię pod kątem metali ciężkich.
4. Czy Yestimun® Beta-Glucan jest bezpieczny?
Yestimun® Beta-Glucan jest bezpieczny. Należy do kategorii żywności, ponieważ jest wytwarzany z czystych naturalnych drożdży piwowarskich. Bezpieczeństwo zostało również wykazane w badaniach klinicznych dotyczących skuteczności Yestimun® Beta-Glucan. Składnik może być spożywany codziennie bez żadnych negatywnych skutków ubocznych [Auinger i in. (2013), Eur J Nutr Vol 52, wyd. 8, pp. 1913-1918].
5. Czy Yestimun® Beta-Glucan ma jakieś skutki uboczne?
Badania kliniczne wykazały, że przyjmowanie Yestimun® nie powoduje żadnych skutków ubocznych. Wszyscy uczestnicy badania określili tolerancję składnika jako „bardzo dobrą” lub „dobrą”
[Auinger i in. (2013), Eur J Nutr Vol 52, Issue 8, pp. 19131918].
6. Jakie funkcje pełni Yestimun® Beta-Glucan? Jak działa preparat?
Sama komórka drożdżowa jest pokryta warstwą mannooligosacharydów (MOS). W procesie produkcji warstwa ta zostaje ostrożnie usunięta, dzięki czemu komórki odpornościowe jelita mogą rozpoznać trójwymiarową matrycę beta-glukanów. Układ odpornościowy zależy w 70% od jelit. Specjalna struktura β-1,3-1,6-glukanu jest rozpoznawana przez komórki w jelicie cienkim, tak jak patogen. Dochodzi do funkcjonalnej, szybkiej i niespecyficznej odpowiedzi immunologicznej, która aktywuje makrofagi w kępkach Peyera. Makrofagi zaczynają niszczyć patogeny lub aktywują inne komórki obronne (limfocyty B i T, komórki dendrytyczne).
[Stier i in. (2014), Nutr J 13:38, s.2 ff. / Chan i in. (2009), J Hematol Oncol 2:25 / Volman i in. (2008), Physiol Behav 94:276-284].
Rys. 1: Model komórki drożdży i różnych warstw zewnętrznych
7. Jaka jest zalecana dzienna dawka (dla dorosłych)?
Nie przeprowadzono jeszcze badań, które określiłyby odpowiednią dawkę. Celem badań, które przeprowadziliśmy było uzyskanie oświadczenia zdrowotnego (około 2 x 450 mg/dzień).
[Graubaum i in. (2012), FNS 3, 738–746] Auinger i in. (2013), Eur J Nutr Vol 52, wyd. 8, ss. 1913-1918]. [Rychlik i in. (2013), Acta Veterinaria Hungarica 61 (3), ss. 297-308].
8. Jaka jest zalecana dzienna dawka dla dzieci?
W przypadku dzieci dzienna dawka może być niższa niż u dorosłych. Nie przeprowadziliśmy badania klinicznego z udziałem dzieci, ale analizy naukowe pokazują, że 7 mg/kg masy ciała daje wiarygodne wyniki.
9. O której godzinie należy zażywać Yestimun® Beta-Glucan?
Yestimun® można przyjmować o dowolnej porze dnia. Dobrym rozwiązaniem jest zażywanie preparatu regularnie o tej samej porze - dzięki temu można uniknąć pominięcia dawki. Uczestnicy badań klinicznych przyjmowali jedną kapsułkę (450 mg) dwa razy dziennie, np. na śniadanie i kolację
[Graubaum i in. (2012), FNS 3, 738–746 / Auinger i in. (2013), Eur J Nutr Vol 52, wyd. 8, pp. 1913-1918].
10. Czy Yestimun® Beta-Glucan należy przyjmować przed, po lub w trakcie posiłku?
Istnieją różne teorie dotyczące tej kwestii. Czasami zaleca się przyjmowanie beta-glukanów na pewien czas przed jedzeniem, aby struktura cząsteczki została lepiej rozpoznana podczas przechodzenia przez przewód pokarmowy bez zakłóceń ze strony innych cząsteczek. Nasze badania kliniczne wykazały, że efekty występują również, gdy preparat jest przyjmowany podczas posiłku - niekoniecznie między posiłkami lub po nich. Preparat będzie skuteczny jako składnik suplementów diety i żywności funkcjonalnej.
[Graubaum i in. (2012), FNS 3, 738–746 / Auinger i in. (2013), Eur J Nutr Vol 52, wyd. 8, pp. 1913-1918].
11. Czy można rozpuszczać Yestimun® Beta-Glucan w płynach? Czy preparat jest rozpuszczalny?
Yestimun® Beta-Glucan służy do sporządzania zawiesiny, ale nie jest rozpuszczalny. Dzięki temu może być dodawany płynnych preparatach, takich jak napoje lub syropy, drinki, shake
12. A co z czystością Yestimun® Beta-Glucan?
Czystość naszego beta-glukanu wynosi co najmniej 85%. W skład procesu produkcyjnego wchodzą różne etapy przemywania, które mają na celu uzyskanie czystej struktury beta-glukanu i usunięcie innych składników, takich jak mannooligosacharydy, tłuszcz i białka.
13. Czy Yestimun® Beta-Glucan to preparat odpowiedni dla wegan i/albo wegetarian?
Yestimun® Beta-Glucan to preparat odpowiedni dla wegan i wegetarian. Składa się wyłącznie z drożdży piwowarskich (100% Saccharomyces cerevisiae).
14. Jaka jest zawartość witamin w Yestimun® Beta-Glucan?
Przeprowadziliśmy analizę witamin zawartych w drożdżach pochodzących od naszych rodzimych piwowarów, ponieważ jest to bogate źródło naturalnych witamin. Yestimun® Beta-Glucan wytwarzany jest z drożdży piwowarskich w procesie rozdzielania, który składa się z co najmniej trzech etapów: Autoliza, następnie rozdzielenie, pierwsze przemywanie w lekko alkalicznych warunkach w temperaturze wrzenia, następnie rozdzielenie, drugie przemywanie w warunkach obojętnych w temperaturze wrzenia, a następnie rozdzielanie. Podczas tych procesów wszystkie rozpuszczalne substancje (cukry, białka, tłuszcz) są wypłukiwane, więc możemy założyć, że ze względu na długi czas wrzenia większość witamin ulega wymyciu lub dezaktywacji.
15. Czy Yestimun® Beta-Glucan może wywoływać alergie?
Yestimun® Beta-Glucan jest produkowany z drożdży piwowarskich. Białka drożdży mogą wywoływać reakcje alergiczne. W procesie produkcji dochodzi do usunięcia prawie wszystkich białek, dzięki czemu pozostaje tylko czysty beta-glukan. Chociaż beta-glukany pochodzą z drożdży piwowarskich (Saccharomyces cerevisiae), są one czystym izolatem i nie zawierają takiej ilości białek drożdżowych, która mogłaby wywołać reakcję alergiczną.
16. Czy Yestimun® Beta-Glucan zawiera gluten?
Przebadano Yestimun® Beta-Glucan pod kątem zawartości glutenu i nie stwierdzono jego śladu. Wynika to z połączenia hydrolizy enzymatycznej i zasadowej oraz kilku etapów przemywania podczas procesu produkcyjnego.
Drożdże piwowarskie są hodowane na brzeczce pochodzącej z jęczmienia. W przypadku drożdży piwowarskich zazwyczaj stosuje się poziom 200 ppm i powyżej. Gluten to kompleks białkowy oparty na kilku aminokwasach. Podczas autolizy enzymatycznej (pierwszy etap) większość glutenu ulega hydrolizacji i pojedyncze aminokwasy nie wywołują reakcji alergicznej. Następnie ściana komórkowa jest poddawana obróbce kaustycznej. Dochodzi do hydrolizy i wymycia białek, tłuszczy i mannooligosacharydów. Końcowym etapem jest płukanie, które ostatecznie usuwa pozostały tłuszcz, mannozę i aminokwasy. Yestimun® Beta-Glucan staje się wysoko oczyszczonym glukanem.
Dysponujemy własnym sprzętem do analizy glutenu, ustawionym na max. 20 ppm glutenu. Wszystkie wyniki analizy pokazały, że Yestimun® Beta-Glucan nie zawiera glutenu.
17. Czy istnieje oświadczenie zdrowotne dotyczące Yestimun® Beta-Glucan?
Niestety nie ma jeszcze oficjalnych oświadczeń zdrowotnych dotyczących Yestimun® Beta-Glucan. Chociaż wszystkie wyniki kliniczne były pozytywne, EFSA (Europejska Agencka ds. Żywności) unieważniła możliwości oficjalnego komunikowania o właściwościach beta glukanów. Niemniej udowodniono w badaniach klinicznych, że Yestimun® Beta-Glucan ma pozytywny wpływ na układ odpornościowy.
[Graubaum i in. (2012), FNS 3, 738–746 / Auinger i in. (2013), Eur J Nutr Vol 52, Issue 8, ss. 1913-1918].
18. Czy Yestimun® Beta-Glucan jest stabilny w środowisku kwaśnym?
Yestimun® Beta-Glucan był badany w różnych wartościach pH i temperaturach. Wyniki pokazały, że nie zachodzą zmiany w strukturze składnika. Jest on również stabilny w środowisku kwaśnym i może być dodawany np. do kwaśnych napojów.
19. Czy beta glukan jest w stanie przetrwać w kwaśnym środowisku żołądka?
Beta-glukan jest w stanie przetrwać w kwasie żołądka. Przeprowadzone przez nas badanie pokazało, że Yestimun® Beta-Glucan jest naprawdę odporny na kwas. Dlatego cała cząsteczka może przejść przez żołądek i dotrzeć do jelita, gdzie zostaje rozpoznana przez komórki receptora [Rahar i in. (2011), J Adv Pharm Technol Res, Apr-Jun; 2(2): 94-103].
20. Jak prawidłowo przechowywać Yestimun® Beta-Glucan?
Yestimun® Beta-Glucan musi być przechowywany w zamkniętym pojemniku, w suchym i chłodnym miejscu chronionym przed światłem. Raz otwarte pudełko należy szczelnie i dokładnie zamykać, aby produkt zachował swą jakość.
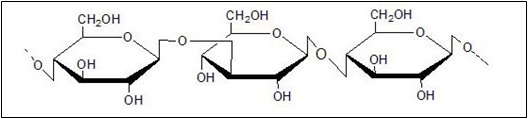
21. Jaka jest różnica między beta-glukanem pochodzącym z drożdży a beta-glukanem pochodzącym z owsa?
Beta-glukan drożdżowy i owsiany należą do grupy błonników, ale mają inną strukturę i zupełnie inną funkcję. Beta-glukan owsiany ma typ połączenia β-1,3-1,4, natomiast beta-glukan drożdżowy - 1,3-1,6-β-D-glukan. Następujące liczby pokazują różne typy połączeń.

Rys. 3: Struktura chemiczna beta-glukanu owsianego (połączenia 1,3-1,4) [Klurfeld i in. (2012), Linus Pauling Institute]
Rys. 4: Struktura chemiczna beta-glukanu drożdżowego (połączenia 1,3-1,6) [Waszkiewicz- Robak, B. (2013), InTech]
22. Jaka jest różnica między drożdżami piwowarskimi a piekarniczymi?
W browarach drożdże piwowarskie rosną na naturalnie słodowanych ziarnach. Ziarna te zawierają wszystkie witaminy i mikroelementy potrzebne do wzrostu drożdży. Inaczej niż w przypadku drożdży piekarniczych nie są tu potrzebne dodatkowe agregaty. Drożdże piwowarskie wymagają długiego czasu dojrzewania, podczas którego wchłaniają i gromadzą dodatkowe składniki mineralne i witaminy z ziarna. Te wyjątkowe cechy sprawiły, że drożdże piwowarskie są popularnym i skutecznym suplementem diety.


Koszty dostawy
Cena nie zawiera ewentualnych kosztów płatności
Opinie o produkcie (0)
Wyszukiwarka
